Skip to content

EDTA Full Form In Hindi, संरचना, सूत्र, उपयोग और नुकसान

EDTA Full Form In Hindi, संरचना, सूत्र, उपयोग और नुकसान

Hello Freinds, आज आपको इस लेख में EDTA Full Form In Hindi, EDTA की संरचना और उपयोग के बारे में बताया जायेगा। यदि आप साइंस के स्टूडेंट है तो EDTA के बारे में थोड़ा बहुत जानते होंगे। EDTA के बारे में अधिक जानकारी पाने के लिए आपको इस लेख को अंत तक पढ़ना है।

रसायन विज्ञान में बहुत सारे केमिकल व पदार्थ है, जिनके बारे में जानकारी बहुत कम है। EDTA भी उन पदार्थो में से एक है। यह एक संकर योगिक है। इस लेख में EDTA Full Form in Hindi के साथ साथ EDTA का उपयोग भी बताया जायेगा।

जब आप यह आर्टिकल अंत तक पढ़ेंगे तब आपको EDTA के बारे में पूरी जानकारी मिल जाएगी। EDTA क्या है ? , EDTA Full Form in Hindi , EDTA का सूत्र, संरचना आदि के बारे में इस लेख में बताया जा रहा है।

EDTA का उपयोग औषधियों में किस प्रकार किया जाता है ? EDTA का पूरा नाम और संरचना सूत्र क्या होता है ? इसकी भौतिक विशेषताए क्या हैं ? इसके सेवन से क्या दुष्परिणाम हो सकते हैं ? इन सभी सवालो का जवाब आपको इस लेख में दिया जा रहा है। यदि आपके मन में भी ये सब सवाल है तो आप यह लेख अंत तक पढ़ते रहे।

EDTA क्या है ? EDTA Full Form In Hindi

Ethylenediaminetetraacetic acid (एथिलीनडाईएमीनटेट्राएसिटिक एसिड) एक एमिनोपॉलीकारबॉक्सिलिक एसिड है। जिसका सूत्र [CH2N(CH2CO2H)2]2 है। यह सफेद, पानी में घुलनशील ठोस होता है।

EDTA का उपयोग पानी में घुलनशील ठोस लोहे (Fe2+/Fe3+) और कैल्शियम आयनों (Ca2+)  को बांधने के लिए किया जाता है। जो की निकटतम pH पर पानी में घुलनशील स्थिति का निर्माण करता है।

व्यापक रूप से इसका उपयोग Limescale को भंग करने के लिए भी किया जाता है। इसका उपयोग Fe- और Ca- युक्त पैमाने को भंग करने के लिए किया जाता है। साथ ही EDTA का उपयोग लोहे के आयनों को उन परिस्थितियों में वितरित करने के लिए किया जाता है जहाँ इसके ऑक्साइड अघुलनशील होते हैं।

EDTA कई लवणों के रूप में उपलब्ध है जैसे disodium EDTA, sodium calcium edetate, and tetrasodium EDTA। लेकिन ये सभी समान रूप से कार्य करते हैं। साल 1935 में सर्वप्रथम फर्डिनेंड मुन्ज द्वारा EDTA का संश्लेषित किया गया था। यह चिकित्सा और औधोगिक क्षेत्र में व्यापक रूप से काम आता है।

EDTA का पूरा नाम क्या है ? EDTA Full Form In Hindi

EDTA का पूरा नाम ( EDTA Full Form in Hindi ) एथिलीन डायमीन टेट्राएसेटिक एसिड ( Ethylenediaminetetraacetic Acid ) होता है। यह एक संकुल यौगिक है। इसका घनत्व 6 होता है। इसी वजह से इसे hexadentate ligand कहते हैं।

यह एक बैरंग क्रिस्टलीय थोड़ा घुलनशील कार्बनिक यौगिक होता है। इसका उपयोग अकार्बनिक रसायन और जैव रसायन में किया जाता है। EDTA  बहुत ही शक्तिशाली chelating एजेंट होता है। यह रक्त से किसी भी भारी धातु को हटाने में सक्षम होता है।

EDTA का सूत्र, अणुभार और संरचना – EDTA Full Form In Hindi

EDTA का सूत्र [CH2N (CH2CO2H)2]2 होता है। इसे शॉर्ट में C10H16N2O8 भी लिख सकते है। EDTA का अणुभार 292.244 ग्राम/मोल होता है। यह एक प्रकार का ठोस पदार्थ होता है जो पानी में आसानी से घुल जाता है।

इसका उपयोग लाइमस्केल को भंग करने में किया जाता है। यह सफ़ेद रंग का एसिड होता है। EDTA की संरचना में 4 कार्बोक्सिलिक एसिड ग्रुप और 2 अमीन ग्रुप होते हैं,  जिन पर इलेक्ट्रॉनों के सिंगल बॉन्ड होते हैं। ईथेन दो अमाइन समूहों से जुड़ा होता है जिस वजह से इसे एथिलीन डायमीन कहा जाता है।

Structure of EDTA in hindi
                      EDTA की संरचना

फिर एमिन से दो हाइड्रोजन (प्रत्येक) को एसिटिक एसिड समूह द्वारा प्रतिस्थापित किया जाता है, जिससे EDTA का निर्माण होता है। EDTA चार कार्बोक्जिलिक एसिड समूहों के अलावा अमीन समूहों के दो नाइट्रोजेन में दो अतिरिक्त हाइड्रोजन जोड़ सकता है।

EDTA की भौतिक विशेषताए क्या हैं ? Physical Properties of EDTA in Hindi

  1. यह एक प्रकार का सफेद क्रिस्टलीय ठोस पदार्थ होता है।
  2. यह जल में घुलनशील होता है।
  3. EDTA का पूरा नाम एथिलीन डायमिन टेट्रा एसिटिक है
  4. EDTA का अणुभार 292.244 ग्राम/मोल है।
  5. 20 डिग्री सेल्सियस पर इसका घनत्व 0.60g प्रति cm3 होता है।
  6. इसकी standard enthalpy of combustion का मान −4461.7 से −4454.5 kJ mol-1 तथा standard enthalpy of formation का मान −1765.4 से −1758.0 kJ mol-1 होता है।

EDTA कैसे बनाया जाता है ? – How to make EDTA in hindi

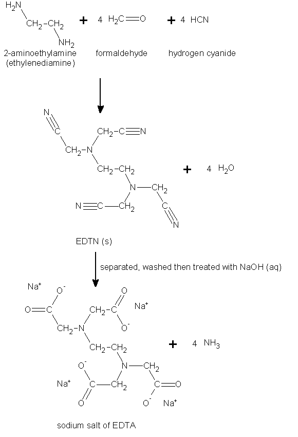
यह एथिलीनडाईएमीन का एक क्षारीय साइनोमिथाइलेशन है। EDTA का उत्पादन टेट्रासोडियम EDTA और अमोनिया एथिलीनडाईएमीन को फॉर्मल्डेहाइड और सोडियम साइनाइड के साथ प्रतिक्रिया करके किया जाता है।

वर्तमान में औद्योगिक स्तर पर EDTA को एथिलीनडाईएमीन, फॉर्मलडिहाइड और साइनाइड के स्रोत जैसे HCN या NaCN से संश्लेषित किया जाता है।

सन्न 1935 में जर्मनी में एफ मुंज द्वारा EDTA का संश्लेषण किया गया था। एथिलीनडाईएमीन की क्लोरोएसिटिक एसिड और NaOH के साथ क्रिया करने पर EDTA प्राप्त हुआ था। उत्पादित EDTA का साल्ट NaCl से दूषित था। अब औद्योगिक स्तर पर इस विधि द्वारा EDTA का संश्लेषण नहीं किया जाता है।

EDTA मुख्य रूप से एथिलीनडायमाइन (1,2-डायमिनोएथेन), फॉर्मलडिहाइड और सोडियम साइनाइड से संश्लेषित होता है। इस विधि से टेट्रासोडियम EDTA  का निर्माण किया जाता है। बाद में इसे एसिड में बदल दिया जाता है।

H2NCH2CH2NH2 + 4 CH2O + 4 NaCN + 4 H2O → (NaO2CCH2)2NCH2CH2N(CH2CO2Na)2 + 4 NH3

(NaO2CCH2)2NCH2CH2N(CH2CO2Na)2 + 4 HCl → (HO2CCH2)2NCH2CH2N(CH2CO2H)2 + 4 NaCl

इस प्रक्रिया से प्रत्येक वर्ष लगभग 80,000 टन EDTA का उत्पादन किया जाता है। इस प्रक्रिया में उत्पन्न होने वाली अशुद्धियों में ग्लाइसिन और नाइट्रिलोट्रियासिटिक एसिड ( glycine and nitrilotriacetic acid ) होते है। ये सब अमोनिया सहउत्पाद की प्रतिक्रियाओं से उत्पन्न होते हैं।

EDTA बनाने की पहली विधि – 

उत्पादित EDTA का साल्ट  NTA (nitrilotriacetic acid) के नमक से दूषित होता है। यह व्यावसायिक रूप से उपयोग की जाने वाली प्रमुख विधि है।

EDTA बनाने की विधि

अधिकांश अमोनिया (NH3) वाष्पित हो जाती है। जबकि कुछ अमोनिया एक संदूषक के रूप में NTA के साल्ट का उत्पादन करने के लिए ऊपर की अभिक्रिया में अभिकारकों के साथ क्रिया करती है। NTA एक ​अच्छा मेटल चेलेटर है जिसका इस्तेमाल डिटर्जेंट में किया जाता है।

EDTA कैसे बनाया जाता है

 

अम्लीकरण पर अघुलनशील EDTA बनता है जबकि NTA का नमक विलयन में रहता है। EDTA साल्ट का एसिड रूप में रूपांतरण हाइड्रोक्लोरिक या सल्फ्यूरिक एसिड के साथ किया जाता है।

EDTA making mathod in hindi

EDTA बनाने की दूसरी विधि –

इस विधि द्वारा EDTA का साल्ट बहुत शुद्ध रूप में उत्पादित किया जाता है। EDTA बनाने की यह दूसरी विधि द्वि-चरणीय सिंगर संश्लेषण के नाम से जानी जाती है।

EDTA Full Form In Hindi, संरचना, सूत्र, उपयोग और नुकसान

 

EDTA का उपयोग – Uses of EDTA In Hindi

यह एक बहुत महत्वपूर्ण पदार्थ है। औद्योगिक स्तर पर EDTA का उपयोग काफी किया जाता है। आइये जानते है EDTA का उपयोग कहाँ कहाँ किया जाता है।

कपड़ा उद्योग में EDTA का उपयोग

कपड़ा उद्योग में जलीय विलयन में धातु आयनों को अलग करने (बाँधने या सीमित करने) के लिए इसका उपयोग किया जाता है। यह धातु आयन की अशुद्धियों को रंगे हुए उत्पादों के रंगों को संशोधित करने से रोकता है।

लुगदी और कागज उद्योग में EDTA धातु आयनों की क्षमता को रोकता है। यह विशेष रूप से Mn2+, हाइड्रोजन परोक्साइड के अनुपातहीनता को उत्प्रेरित करने से रोकता है। जिसका उपयोग क्लोरीन मुक्त विरंजन में किया जाता है।

इसी तरह उत्प्रेरक ऑक्सीडेटिव विरंजन को रोकने के लिए परिरक्षक या स्टेबलाइज़र के रूप में कुछ भोजन में EDTA को काम में लिया जाता है। एस्कॉर्बिक एसिड और सोडियम बेंजोएट युक्त शीतल पेय पदार्थ में EDTA बेंजीन के गठन को कम करता है।

मेडिसिन में EDTA का उपयोग

Sodium calcium edetate का उपयोग पारा ( Mercury ) और सीसा (Lead) विषाक्तता के इलाज के लिए केलेशन थेरेपी के अभ्यास में धातु आयनों को बांधने के लिए किया जाता है।

शरीर से अतिरिक्त आयरन को निकालने के लिए भी इसका उपयोग किया जाता है। इस थेरेपी का उपयोग बार-बार रक्त संक्रमण की जटिलता के इलाज के लिए किया जाता है जैसे थैलेसीमिया के इलाज के लिए किया जाता है।

कॉस्मेटिक इंडस्ट्री में EDTA का उपयोग

शैंपू, क्लीनर और पर्सनल केयर प्रोडक्ट्स में EDTA Salt का उपयोग किया जाता है। इससे हवा में इनकी स्थिरता बनी रहती है।

प्रयोगशाला अनुप्रयोग में – EDTA Full Form In Hindi

प्रयोगशाला में व्यापक रूप से धातु आयनों की सफाई के लिए EDTA का उपयोग किया जाता है। जैव रसायन और आणविक जीव विज्ञान में आयन की कमी का उपयोग आमतौर पर धातु पर निर्भर एंजाइमों को निष्क्रिय करने के लिए इसका किया जाता है।

यह उनकी प्रतिक्रियाशीलता के लिए टेस्ट के रूप में या डीएनए, प्रोटीन और पॉलीसेकेराइड के नुकसान को दबाने के लिए काम आता है। analytical chemistry में EDTA का उपयोग complexometric titrations और पानी की कठोरता के विश्लेषण में या धातु आयनों को अलग करने के लिए एक मास्किंग एजेंट के रूप में किया जाता है।

यह बायोमेडिकल लैब में कई प्रकार के कार्यो में काम आता है। पशु चिकित्सा नेत्र विज्ञान में जानवरों के कॉर्नियल अल्सर को बिगड़ने से रोकने के लिए एक एंटीकोलेजेनेज के रूप में यह काम आता है।

टिशू कल्चर में EDTA का उपयोग एक चेलेटिंग एजेंट के रूप में किया जाता है जो कैल्शियम को बांधता है और कोशिकाओं के बीच कैडरिन को शामिल होने से रोकता है। यह तरल निलंबन में विकसित कोशिकाओं के क्लंपिंग को रोकता है।

EDTA का उपयोग तलछट में भारी धातुओं की जैव-उपलब्धता के परीक्षण के लिए भी किया जा सकता है। हालांकि यह विलयन में धातुओं की जैव उपलब्धता को प्रभावित कर सकता है। EDTA का उपयोग परमाणु रिएक्टरों में ईंधन की छड़ों से क्रूड (संक्षारित धातु) को हटाने के लिए भी किया जाता है।

वैकल्पिक दवा में – in Alternative medicine

कुछ वैकल्पिक चिकित्सकों का मानना है कि EDTA एक एंटीऑक्सिडेंट के रूप में कार्य करता है। यह रक्त वाहिका की दीवारों को नुकसान पहुँचाने से मुक्त कणों को रोकता है।

इसलिए यह एथेरोस्क्लेरोसिस ( atherosclerosis) को कम करता है। हालाँकि यह तथ्य वैज्ञानिक अध्ययनों द्वारा समर्थित नहीं हैं और न ही USFDA ने एथेरोस्क्लेरोसिस ( atherosclerosis) के इलाज के लिए इसे मंजूरी नहीं दी है।

Water softener में EDTA का उपयोग

कपड़े धोने के अनुप्रयोगों में पानी की कठोरता में कमी और बॉयलरों में पैमाने का विघटन दोनों ही EDTA और संबंधित परिसरों पर Ca2+, Mg2+ और अन्य धातु आयनों को बांधने के लिए निर्भर करते हैं।

एक बार EDTA से बंध जाने के बाद इन धातु परिसरों में अवक्षेप बनने या साबुन और डिटर्जेंट की क्रिया में हस्तक्षेप करने की संभावना कम होती है।

इसी वजह से क्लीनिंग सोलुशन में EDTA होता है। सफाई समाधानों में अक्सर  इसी तरह सीमेंट और क्लिंकर में Free LIme और फ्री मैग्नेशिया के निर्धारण के लिए सीमेंट उद्योग में EDTA का उपयोग किया जाता है।

स्क्रबिंग में ( In Scrubbing )

जलीय [Fe(EDTA)]- का उपयोग गैस स्ट्रीम से हाइड्रोजन सल्फाइड को हटाने के लिए किया जाता है। यह रूपांतरण हाइड्रोजन सल्फाइड को elemental sulfur में ऑक्सीकरण करके प्राप्त किया जाता है, जो गैर-वाष्पशील है।

2[Fe(EDTA)] + H2S → 2 [Fe(EDTA)]2− + S + 2 H+

[Fe(EDTA)]2- का उपयोग करके नाइट्रोजन ऑक्साइड को गैस स्ट्रीम से हटा दिया जाता है। [Fe(EDTA)] के ऑक्सीकरण गुणों का उपयोग फोटोग्राफी में किया जाता है, जहाँ इसका उपयोग चांदी के कणों को घोलने के लिए किया जाता है।

आईड्रॉप्स में – EDTA Full Form In Hindi

यह ओकुलर तैयारी और आईड्रॉप्स में एक परिरक्षक के रूप में कार्य करता है। EDTA Full Form In Hindi

दंत चिकित्सा में – EDTA Full Form In Hindi

दंत चिकित्सक और एंडोडॉन्टिस्ट ( Dentists and endodontists ) EDTA सोलुशन का उपयोग अकार्बनिक मलबे को हटाने और एंडोडोंटिक्स में रूट कैनाल को लुब्रिकेट करने के लिए करते हैं। यह प्रक्रिया रुकावट के लिए रूट कैनाल तैयार करने में मदद करती है।

EDTA सोलुशन एक surfactant के साथ रूट कैनाल के अंदर कैल्सीफिकेशन को ढीला करता है। यह  instrumentation (कैनाल शेपिंग) की अनुमति देता है और एपेक्स की ओर एक तंग या कैल्सीफाइड रूट कैनाल में एक फ़ाइल की एपिकल उन्नति की सुविधा देता है।

विश्लेषण में EDTA का उपयोग

गुर्दे के कार्य का मूल्यांकन करने में क्रोमियम (III) कॉम्प्लेक्स [Cr(EDTA)]- (रेडियोधर्मी क्रोमियम-51 के रूप में) को अंतःशिरा से प्रशासित किया जाता है और मूत्र में इसके निस्पंदन की निगरानी की जाती है। यह विधि परमाणु चिकित्सा में ग्लोमेरुलर निस्पंदन दर के मूल्यांकन के लिए उपयोगी है।

EDTA का उपयोग रक्त के विश्लेषण में बड़े पैमाने पर किया जाता है। यह CBC/FBC के लिए रक्त के नमूनों के लिए एक थक्का-रोधी है, जहां EDTA रक्त के नमूने में मौजूद कैल्शियम को चेलेट करता है और जमने की प्रक्रिया को रोकता है।

EDTA वाली नलियों पर बैंगनी या गुलाबी रंग के टॉप लगे होते हैं। EDTA लेड टेस्टिंग के लिए टैन टॉप ट्यूब्स में है और ट्रेस मेटल टेस्टिंग के लिए रॉयल ब्लू टॉप ट्यूब्स में इसका इस्तेमाल किया जा सकता है। EDTA एक ​​स्लाइम डिस्पर्सेंट है और इंट्रोक्युलर लेंस (IOLs) के आरोपण के दौरान बैक्टीरिया के विकास को कम करने में अत्यधिक प्रभावी पाया गया है।

EDTA से होने वाले नुकसान – Side Effect of EDTA

EDTA 2.0 g/kg से 2.2 g/kg के LD50 के साथ कम तीव्र विषाक्तता प्रदर्शित करता है। यह प्रयोगशाला पशुओं में साइटोटॉक्सिक और कमजोर जीनोटॉक्सिक दोनों में पाया गया है। इससे आपकी प्रजनन और विकासात्मक प्रक्रिया प्रभावित होती है।

इसके प्रयोग से आपकी त्वचा में लाल चकत्ते हो सकते हैं। Edta के अधिक प्रयोग से सिरदर्द और दस्त की शिकायत हो सकती है। इसका इंजेक्शन लेने के बाद रक्तचाप में कमी हो जाती है और चक्कर आने जैसी समस्या से सामना करना पड़ सकता है। इसके अधिक प्रयोग से आपकी तबियत ख़राब हो सकती है।

आशा करता हूँ आपको यह लेख EDTA Full Form अच्छा लगा होगा। इस लेख में EDTA की महत्वपूर्ण जानकारी शेयर की गई है। EDTA का उपयोग और EDTA कैसे बनाया जाता है, इन सब की जानकारी इस लेख में बताई गई है। यदि आपको यह लेख अच्छा लगा हो तो इसे अपने दोस्तों के साथ में सोशल मीडिया पर अवश्य शेयर करें।

FAQ

Q :  EDTA का पूरा नाम क्या है ?
Ans :  EDTA का पूरा नाम ( EDTA Full Form in Hindi ) एथिलीन डायमीन टेट्राएसेटिक एसिड ( Ethylenediaminetetraacetic Acid ) होता है।

Q :  EDTA का सूत्र क्या है ?
Ans :  EDTA का सूत्र [CH2N (CH2CO2H)2]2 होता है। इसे शॉर्ट में C10H16N2O8 भी लिख सकते है।

Q :  EDTA का अणुभार कितना होता है ?
Ans :  EDTA का अणुभार 292.244 ग्राम/मोल होता है।

Q :  EDTA का निर्माण कैसे किया जाता है ?
Ans :  यह एथिलीनडाईएमीन का एक क्षारीय साइनोमिथाइलेशन है। टेट्रासोडियम EDTA और अमोनिया एथिलीनडाईएमीन को फॉर्मल्डेहाइड और सोडियम साइनाइड के साथ प्रतिक्रिया करके EDTA का उत्पादन किया जाता है।
वर्तमान में औद्योगिक स्तर पर EDTA को एथिलीनडाईएमीन, फॉर्मलडिहाइड और साइनाइड के स्रोत जैसे HCN या NaCN से संश्लेषित किया जाता है।

Q :  EDTA क्या काम आता है ?
Ans :  जैव विज्ञान में इसका प्रयोग विभिन्न प्रकार के एंजाइमों को निष्क्रिय करने के लिए किया जाता है। अतः EDTA धातुओं और परमाणुओं के साथ क्रिया प्रतिक्रिया कर सकता है। यह कई प्रकार की दवाओं में काम आता है और यह एंटीऑक्सीडेंट के रूप में भी कार्य करता है।
इसका प्रयोग खाद्य पदार्थों में किया जाता है जो कि बंद डिब्बे में बिकते हैं। इसके इस्तेमाल से खाद्य पदार्थों का रंग बरकरार बना रहता है। कई प्रकार की सलाद को ताजा रखने में भी EDTA का प्रयोग किया जाता है।

Read Also

  1. पोटेशियम हाइड्रॉक्साइड क्या है : इसके सूत्र, अणुभार, गुण, उपयोग और बनाने की विधि
  2. Calcium chloride : कैल्शियम क्लोराइड का उपयोग और बनाने की विधि
  3. ऑक्सैलिक एसिड क्या होता है ? इसके उपयोग और बनाने की विधि क्या है ?
  4. सिट्रिक एसिड क्या होता है ? इसके गुण,सूत्र,संरचना,उपयोग, तथा बनाने की विधि
  5. Acetone : एसीटोन बनाने बनाने की विधि और उपयोग, सूत्र, अणुभार, संरचना, गुण
  6. Toluene : टाल्यूईन बनाने की विधि और इसका उपयोग

Leave a Reply

Your email address will not be published. Required fields are marked *